LeetCode-160-相交链表
1. 题目:
相交链表
编写一个程序,找到两个单链表相交的起始节点。
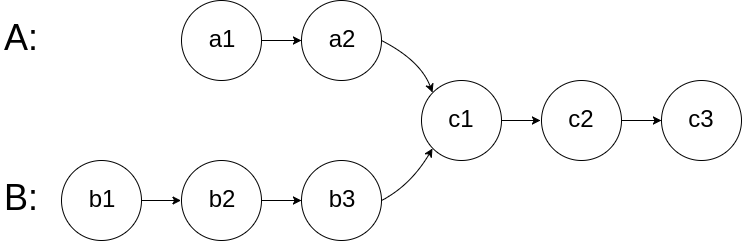
如下面的两个链表:

在节点 c1 开始相交。
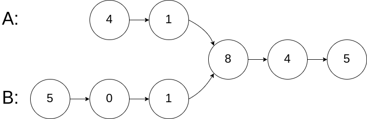
示例 1:

1 | 输入:intersectVal = 8, listA = [4,1,8,4,5], listB = [5,0,1,8,4,5], skipA = 2, skipB = 3 |
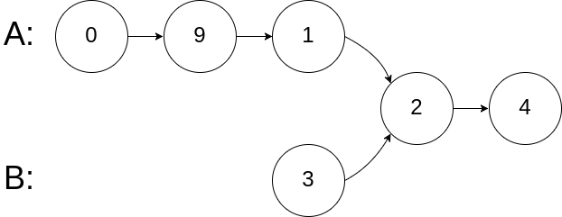
示例 2:

1 | 输入:intersectVal = 2, listA = [0,9,1,2,4], listB = [3,2,4], skipA = 3, skipB = 1 |
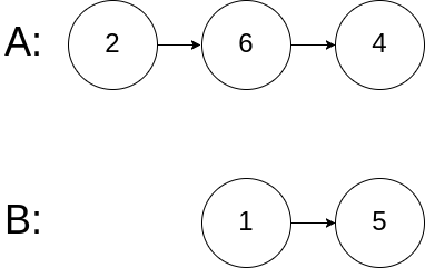
示例 3:

1 | 输入:intersectVal = 0, listA = [2,6,4], listB = [1,5], skipA = 3, skipB = 2 |
注意:
- 如果两个链表没有交点,返回
null. - 在返回结果后,两个链表仍须保持原有的结构。
- 可假定整个链表结构中没有循环。
- 程序尽量满足 O(n) 时间复杂度,且仅用 O(1) 内存。
2. 解题:
如果两个链表有交点,则两个链表在交点后是共享所有结点。
假设链表l1的长度为x,链表l2的长度为y,(x>y),
则可以肯定l1的前(x-y)一定没有交点;此时从l1的第x-y节点开始,两链表有相同的长度,同时遍历两个链表,找出交点。
代码:
1 | public static ListNode getIntersectionNode(ListNode headA, ListNode headB) { |
3. 优化:
我们会发现上边的代码很冗长,需要计算链表长度,还要截掉多余的节点。但是实际上我们最主要的目的是可以“同步”遍历两个链表,也就是让两个链表长度相等。
我们知道l1_length + l2_length == l2_length + l1_length。所以,我们可以两轮遍历,来得到l1+l2。
两个链表l1、l2,通过两轮遍历,第一轮l1到达结尾时,从l2的头结点出发,同样的l2到达结尾时,从l1的头结点出发。这样就抹除了长度差;第二轮用来找交点。
代码:
1 | /** |